今天(1月21日),2026年上海市普通高校春季招生统一文化考试和1月份外语科目考试成绩公布。 经市教委审定,2025年上海市普通高校春季考试招生志愿填报最低文化成绩控制线为:251分。
2026年春季考试由统一文化考试和院校自主测试两部分组成。
根据市教委规定,应届高中毕业考生须取得思想政治、历史、地理、物理、化学、生物学、信息技术7门科目高中学业水平合格性考试的合格成绩,方可填报春季考试招生志愿。
1月22日起,春考和外语一考成绩通知单通过邮政EMS特快专递直接投递给考生。
考生如对统一文化考试成绩有疑问,可于2026年1月22日9:00—16:00期间,登录“上海招考热线”网站(www.shmeea.edu.cn),点击“考试报名”申请“成绩复核”,2026年1月23日12:00起可再次登录该网站查看复核结果。
统一文化考试成绩总分达到本市公布的志愿填报最低控制线的考生可于2026年1月30日9:00—22:00,1月31日9:00—16:00期间,登录“上海招考热线”网站(www.shmeea.edu.cn)填报志愿。
市教育考试院负责人介绍,2026年春考有7万余名考生报名参加,同时段还进行了2026年统一高考外语科目考试(1月)和高中学业水平语文、数学、外语合格性考试。全市各级教育、考试部门及保障单位协同配合,确保了考试组织等各项工作落实到位,考试安全平稳。
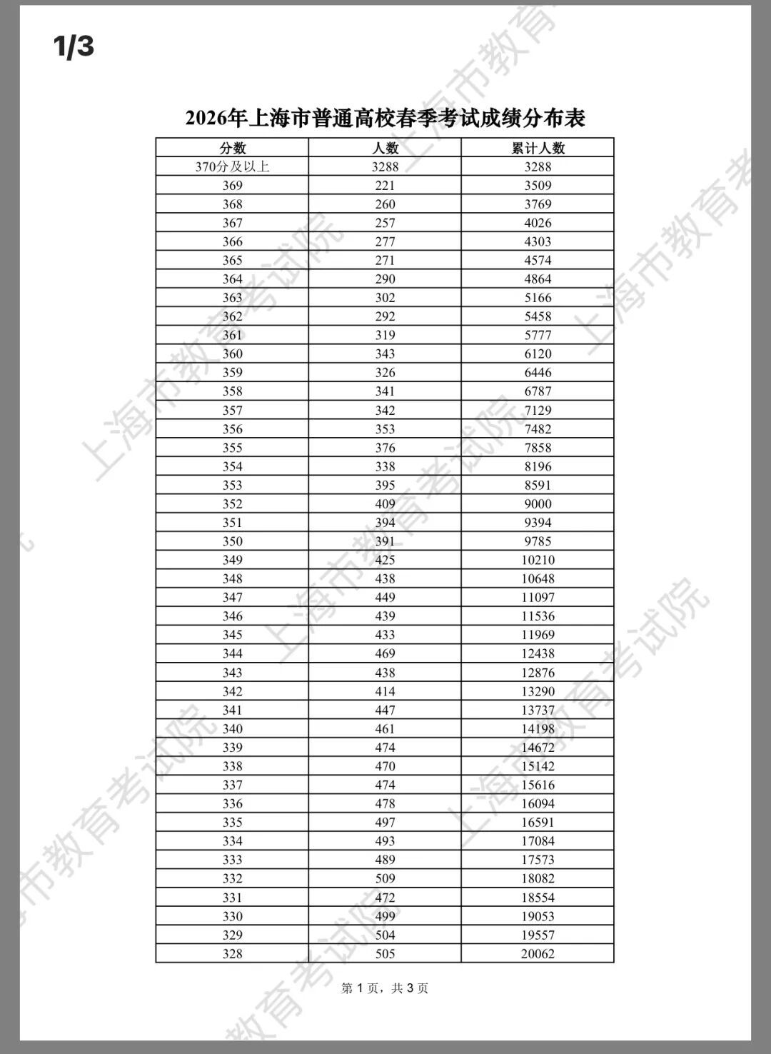
2026年上海市普通高校
春季考试成绩分布表↓



2026年上海市普通高校
春季考试招生专业计划一览表↓







来源:上海市教育考试院
封面图由AI生成
编辑:袁曼舒
校对:曹铒
责任编辑:吴华
转载此文请注明出处
关注“第一教育”
分享至朋友圈惊喜更多!
_________________________